Jul 11,2025
Cetagliptinͨ¹ýÒÖÖÆDPP-4/ÔöÌíGLP-1½µµÍѪÌÇ£¬¿ÉÓÃÓÚÖÎÁÆ2ÐÍÌÇÄò²¡£¬±¾Ñо¿ÖÐGLP-1¼ì²âͨ¹ý×ðÁú¿Ê±¾ÙÐÐ
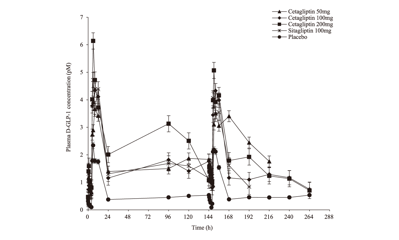
Cetagliptin demonstrates the great potential for treatment with type 2 diabetes patients based on the inhibition of DPP-4, the increase in GLP-1 and insulin, the decrease in glucose, and might be more effective in DPP-4 inhibition than sitagliptin.
This study was conducted in a small, selected population of healthy subjects with normoglycaemia. The results suggest that Cetagliptin, at doses ¡Ý50 mg once daily (QD), exhibited minimal accumulation, inhibited plasma DPP-4 activity by >80% over a 24-hour dosing interval, and increased active glucagon-like-1 peptide (GLP-1) levels without producing hypoglycaemia. The active GLP-1 assays were performed by Medicilon Preclinical Research LLC. Generally, Cetagliptin has favourable clinical tolerability and safety.
Éó²é¸ü¶à