2ÐÍÌÇÄò²¡£¨T2DM£©ÊÇÒ»ÖÖ¾ÙÐÐÐÔ¼²²¡£¬ËæÊ±¼äÍÆÒÆ£¬¦Âϸ°û¹¦Ð§¾ÙÐÐÐÔ¼õÍË£¬ÇÒ±¬·¢ÒȵºËضԿ¹£¬µ¼ÖÂͨÀýÒ©ÎïÖÎÁÆÄÑÒÔºã¾ÃÓÅÒì¿ØÖÆÑªÌÇ¡£ÎªÁ˸üºÃµØ¿ØÖÆÑªÌÇ£¬ÖÖÖÖ½µÌÇÒ©ÎïÒ»Ö±Ò»Ö±Ñз¢ÖС£½µÌÇÕ½ÂÔÒ²´ÓÒÔ¡°¿ØÖÆÑªÌÇ¡±ÎªÖÐÐÄתÏòÒÔ¡°¸Ä ÉÆÐÄѪ¹Ü¹¦Ð§¡±ÎªÖÐÐĵļæ¹Ë¿ØÖÆÑªÌÇģʽ¡£ÒȸßѪÌÇËØÑùëÄ-1£¨GLP-1£©ÊÜÌ壨GLP-1R£©¼¤¶¯¼Á¼æ¾ß½µÌÇ¡¢½µÑªÑ¹¡¢¼õÇáÌåÖØ¼°Ñª¹Ü±£»¤µÈ¶àÖØÐÄÀí×÷Óã¬Òò´Ë°ÐÏòGLP-1R¿ª·¢½µÌÇÒ©µÄÈȳ±Ò»Ö±£¬ÊǽüÄêÀ´ÌÇÄò²¡Ò©ÎïÑз¢ÁìÓòµÄÈÈÃÅ¡£×ðÁú¿Ê±ÔÚGLP-1Ò©ÎïµÄһվʽÑз¢Ð§Àͼƻ®Öƶ©ÖÐÓë¿Í»§ÉîÈë½»Á÷£¬½«Ã¿Ò»¸ö°¸ÀýµÄÌØµãÓë¶àÄêʵսÂÄÀúºÍÊÖÒÕ»ýÀÛÏàÁ¬Ïµ£¬ÉóÉ÷µØ½«ÓÅÖÊʵÑ鼯»®ÓëЧ¹û½»µ½¿Í»§ÊÖÉÏ¡£×ðÁú¿Ê±¿ÉÒÔΪ¿Í»§ÌṩGLP-1Ò©Îï·¢Ã÷¡¢GLP-1ҩѧÑо¿£¨ÖÊÁÏÒ© ¹¤ÒÕ¿ª·¢+ÖÆ¼Á£©¡¢GLP-1ҩЧѧÑо¿¡¢GLP-1Ò©´ú¶¯Á¦Ñ§ÆÀ¼ÛºÍGLP-1Çå¾²ÐÔÆÀ¼ÛµÈЧÀÍ¡£×èÖ¹2023Äê12ÔÂ⣬×ðÁú¿Ê±ÒÑÀÖ³ÉÖúÁ¦8¸öGLP-1Ò©Îï»ñÅúÁÙ´²£¬ÆäÖÐ3¸öGLP-1Ò©ÎïNMPA/FDAͬʱ»ñÅú£¬1¸öGLP-1Ò©Îï»ñµÃÃÀ¹úFDA¡¢ÖйúNMPA¡¢°ÄÖÞTGAÈý¹úÅú×¼£¬ÁíÍâÓÐ7¸öGLP-1ÏîÄ¿ÔÚÑС£
GLP-1Ò©Îï
- ÒȸßѪÌÇËØÑùëÄ-1£¨GLP-1£©ÊÜÌ壨GLP-1R£©¼¤¶¯¼Á¼æ¾ß½µÌÇ¡¢½µÑªÑ¹¡¢¼õÇáÌåÖØ¼°Ñª¹Ü±£»¤µÈ¶àÖØÐÄÀí×÷Óã¬Òò´Ë°ÐÏòGLP-1R¿ª·¢½µÌÇÒ©µÄÈȳ±Ò»Ö±£¬ÊǽüÄêÀ´ÌÇÄò²¡Ò©ÎïÑз¢ÁìÓòµÄÈÈÃÅ¡£GLP-1ÊÇ1983 Äê·¢Ã÷µÄµÚ¶þÖÖ³¦´ÙÒȵºËØ£¬ÓÉÒȸßѪÌÇËØÔ»ùÒò±àÂëºÏ³É, Ö÷ÒªÓɳ¦µÀ L ϸ°û±¬·¢¡£GLP-1ÔÚÈËÌåÄÚÒÔGLP-1£¨7-36£©ºÍGLP-1£¨7-37£©Á½ÖÖ»îÐÔÐÎʽ±£´æ, ÈËÌåÄÚÖ÷ÒªÒÔº¬30¸ö°±»ùËáµÄGLP-1£¨7-36£©ÎªÖ÷£¬Æä´ÎΪGLP-1£¨7-37£©¡£GLP-1ͨ¹ýÓëGLP-1RÌØÒìÐÔÁ¬Ïµ£¬°ÐÏòÒȵºÏ¸°û£¬´Ì¼¤ÒȵºËØÉøÍ¸£¬ÇÒÒÖÖÆÒȸßѪÌÇËØÉøÍ¸£¬´Ó¶øÔö½øÆÏÌÑÌǵÄг´úл¡£Í¬Ê±GLP-1»¹Äܹ»ÄÜÑÓ»ºÎ¸ÅſպÍÒÖÖÆÊ³Óû¡£GLP-1 ÔÚ²î±ð×éÖ¯ÖÐÌåÏÖ³ö¶àÖÖ×÷Ó㬾ßÓÐÆÕ±éµÄÖÎÁÆÇ±Á¦¡£Òò´Ë£¬GLP-1ÔÚÌÇÄò²¡µÄÖÎÁƺͷ¢²¡»úÖÆÑо¿ÖÐÆð×ŷdz£Æð¾¢µÄ×÷Óá£
GLP-1µÄ¶àÖØÐÄÀí¹¦Ð§[1] - ÏÖÔÚ»ùÓÚGLP-1µÄÌÇÄò²¡Ò©ÎïÖ÷Òª¼¯ÖÐÔÚ¶þëÄ»ùëÄø4£¨dipeptidyl dipeptidase-4£¬DPP-4£©ÒÖÖÆ¼Á¡¢GLP-1R¼¤¶¯¼Á¡¢GLP-1ÀàËÆÎïÈý¸ö·½Ãæ¡£DPP-4ʹ GLP-1 ʧ»î¡£¿Ú·þÓÐÓõÄDPP-4ÒÖÖÆ¼Á£¬ÓÐÎ÷¸ñÁÐÍ¡¡¢Î¬¸ñ ÁÐÍ¡¡¢É³¸ñÁÐÍ¡¡¢Àû¸ñÁÐÍ¡¡¢°¢¸ñÁÐÍ¡µÈ£¬ÕâÀàÒ©ÎïÒ²³ÆÎª¸ñÁÐÍ¡ÀàÒ©Î¿ÉÓë¶þ¼×Ë«ëÒ¡¢ÐÁ·¥ËûÍ¡ÏàÁ¬ÏµÁªºÏʹÓá£
ƾ֤×÷ÓÃʱ¼äÊÇ·Ç£¬GLP-1ÀàÒ©Îï·ÖΪ£º
? ³¤Ð§ÖƼÁ£ºÃ¿ÖÜ×¢ÉäÒ»´Î
È绺ÊͰ¬ÈûÄÇëÄ¡¢°¢±ØÂ³ëÄ¡¢¶ÈÀ³ëÄ¡¢Ëû˾³ëÄ
? ¶ÌÐ§ÖÆ¼Á£ºÌìÌì×¢ÉäÒ»´Î»òÁ½´Î
Èç°¬ÈûÄÇëÄ¡¢ÀûÀ³ëÄ¡¢ÀûÎ÷ÀëÄ
Ö»¹Ü¶¼ÒÔGLP-1Ϊ°Ðµã£¬GLP-1R¼¤¶¯¼ÁºÍDPP-4ÒÖÖÆ¼Á±£´æ¶àÖÖ²î±ð¡£GLP-1R¼¤¶¯¼ÁºÍDPP-4ÒÖÖÆ¼ÁÓжàÖÖÇø±ð£º
? ¸øÒ©·½·¨£ºÇ°Õ߯¤ÏÂ×¢Éä¡¢ºóÕ߿ڷþÉãÈë
? ÁÆÐ§£ºGLP-1¼¤¶¯¼ÁЧ¹û¸üºÃ
? ¶ÔÌåÖØµÄÓ°Ï죺GLP-1R¼¤¶¯¼Á½µµÍÌåÖØ¡¢DPP-4ÒÖÖÆ¼Á¶ÔÌåÖØ»ù±¾ÎÞÓ°Ïì
? ÄÍÊÜÐÔ£ºÊ¹ÓÃGLP-1R¼¤¶¯¼Á»á·ºÆð¶ñÐĺÍʳÓûϽµ¡¢DPP-4ÒÖÖÆ¼Á»ù±¾ÎÞÓ°Ïì
? ¡¡
GLP-1R¼¤¶¯¼ÁºÍDPP-4ÒÖÖÆ¼Á¶ÔÐÄѪ¹Üϵͳ¶¼¾ßÓб£»¤×÷Óá£ÔÚ¶þ¼×Ë«ëÒµ¥Ò©ÖÎÁÆÊ§°Üºó£¬¸ñÁÐÍ¡ÀàÒ©Îï¿É×÷Ϊ»ÇëåÀà»ò¸ñÁÐͪÀàÒ©ÎïµÄÓÐDZÁ¦µÄÌæ»»Æ·£¬¶øÔÚË«ÖØ¿Ú·þÒ©ÖÎÁÆÊ§°Üºó£¬GLP-1R¼¤¶¯¼Á¿É×÷ΪÒȵºËصÄÓÅÒìÌæ»»Æ·£¬ÓÈÆäÕë¶Ô·ÊÅÖ»¼Õß¡£GLP-1 ¾²Âö¸øÒ©ºóµÄ°ëË¥ÆÚÒ»Ñùƽ³£Ô¼Îª 1-2 ·ÖÖÓ£¬Ëæºó±»DPP-4ѸËÙ½µ½â£¬¶øÊ§È¥»îÐÔ¡£
GLP-1R¼¤¶¯¼ÁºÍDPP-4ÒÖÖÆ¼ÁµÄÇø±ð[1]GLP-1RÊÇ2ÐÍÌÇÄò²¡µÄÒªº¦ÖÎÁưе㡣ÖÚ¶à°ÐÏòGLP-1RµÄÒ©ÎïÒѽøÈëÁÙ´²ÖÎÁƽ׶Ρ£GLP-1RÓëÆäËûËÄÖÖÒȸßѪÌÇËØÊÜÌ壨GCGR¡¢GLP-2R¡¢GIPR ºÍ GHRHR£©ÊôÓÚB1ÀàGPCR£¨ÉøÍ¸ËؼÒ×壩£¬ÆäÄÚÔ´ÐÔÅäÌåÊÇëÄÀà¼¤ËØ¡£GLP-1RÊÇÒ»ÖÖ¶àЧÐÔżÁªÊÜÌ壬Ö÷Ҫͨ¹ýÓë¶àÖÖGÂѰף¨G¦Ás¡¢G¦Ái¡¢G¦ÁoºÍG¦Áq/11£©Å¼ÁªÀ´µ÷¿ØÏ¸°ûͨ·¡£µ±ÓëGLP-1Á¬Ïµºó£¬GLP-1RÔÚÒȵº¦Âϸ°ûÖÐżÁªG¦ÁsÂѰף¬¼¤»îÏÙÜÕ»·»¯Ã¸(AC)£¬´ÙʹcAMPÔÚϸ°ûÄÚº¬Á¿Éý¸ß£¬cAMP¿É¼¤»îÂѰ׼¤Ã¸A£¨PKA£©ºÍcAMPµ÷ÀíµÄÄñàÑßʺËÜÕËá½»Á÷Òò×Ó2£¨Epac2£©£¬¼¤»îºóµÄ PKA ¿ÉÒÔ¹Ø±Õ ATP ÒÀÀµµÄ K+ͨµÀ£¬Ê¹Ï¸°ûĤȥ¼«»¯¡£¼¤»îºóµÄPKA»¹¿ÉÒÔ¼¤»îµçѹÒÀÀµµÄCa2+ͨµÀ(VDCC)£¬Ê¹ Ca2+ÄÚÁ÷²¢±¬·¢Ðж¯µçλ¡£¶ø¼¤»îºóEpac2¿ÉÒÔ¼¤»îRasÂѰ×1£¨Rap1£©ºÍÁ×֬øC£¨PLC£©£¬´Ó¶ø¼¤»îIP3ºÍ¶þõ£¸ÊÓÍ£¨DAG£©Í¾¾¶£¬Ôö½øÏ¸°ûÄÚCa2+ÊÍ·Å£¬ÕâЩ;¾¶×îÖÕ¶¼»á´Ì¼¤ÑªÌÇÒÀÀµÐÔÒȵºËصÄÉøÍ¸¡£
GLP-1RÔÚÒÈÏÙ¦Âϸ°ûÖеÄÐźÅͨ·[2]
ЧÀÍÄÚÈÝ
GLP-1 ҩѧÑо¿
ÏÖÔÚԼĪ80%µÄÂѰ׶àëÄҩͨ¹ý×¢Éä;¾¶¸øÒ©¡£Îª¸ÄÉÆ¶àëÄÀàÒ©ÎïÎȹÌÐÔ£¬ÑÓÉì¶àëÄÒ©ÎïµÄÌåÄÚ°ëË¥ÆÚ£¬Ê¹Æä³¤Ð§»¯£¬³ýÁ˶ԶàëľÙÐзÖ×ӽṹµÄˢУ¬Èç½ÓÄɰ±»ùËáÌæ»»»ò»·»¯¡¢PEGÐÞÊΡ¢Èںϳ¤Ð§»¯Æ¬¶Ï£¨ÓëFcÈںϡ¢ÓëÈËѪÇå°×ÂѰ×ÈÚ ºÏ£©¡¢×ººÏÖ¬·¾ËáÁ´µÈÕ½ÂÔ¡£»¹¿Éͨ¹ýÖÆ¼ÁѧÊֶθÄÉÆ¶àëÄÀàÒ©ÎïµÄÎüÊÕ²¢Ê¹Æä³¤Ð§»¯£¬Äܹ»ÓÐÓÃËõ¶ÌÒ©Æ·Ñз¢ÖÜÆÚ¡¢½µµÍÒ©Æ·Ñз¢±¾Ç®£¬Ò²¿ÉÄÜΪҩÎïʹÓÿª·¢ÐµÄ˳Ӧ֤¡£×¢ÉäÐͶàëÄÒ©ÎïÖ÷ÒªÖÆ¼ÁÀàÐÍΪ¶³¸É·Û¡£½üÄêÀ´£¬Ëæ×ÅÖÖÖÖµÝҩϵͳµÄÉú³¤£¬Ñо¿Ö°Ô±¿ª·¢Á˶àëÄÒ©Îï¶àÖÖ²î±ðµÄÖÆ¼ÁÀàÐÍ£¬·ºÆð³ö¶àÖÖ¸øÒ©Í¾¾¶¡£ÏÖÔÚ¶àëÄÒ©ÎïÖÆ¼ÁÓÐ×¢ÉäÓÃ΢Çò¡¢Ö²Èë¼Á¡¢»ºÊÍÖ¬ÖÊÌ塢΢Èé¡¢ÄÉÃ×Á£¡¢¿Ú·þ³¤Ð§Æ¬¼Á/½ºÄÒ ¼Á ¡¢¿Ú·þ΢Á£¡¢ ΢ÕëÌù¼Á ¡¢¾Æ¤Î¢Á£¸øÒ©ÏµÍ³µÈ¡£È磺°¬ÈûÄÇëÄ (Exenatide) ÊÇÓÉÃÀ¹úFDAÅú×¼µÄµÚ1¸öGLP-1R¼¤¶¯¼ÁÀà¶àëÄÒ©ÎÆäÓÉ39¸ö°±»ùËá×é³É¡£ÓÃÓÚ¸ÄÉÆ2ÐÍÌÇÄò²¡»¼ÕßµÄѪÌÇ¿ØÖÆ£¬ÆäͨË×¼ÁÐÍÐèÌìÌìÁ½´Î¾ÙÐÐÆ¤ÏÂ×¢Éä£»Ëæºó£¬AmylinÖÆÒ©¹«Ë¾ÒÔ¾ÛÈéËá-ôÇ»ùÒÒËá¹²¾ÛÎPLGA£©ÎªÔØÌ壬Àֳɿª·¢ÁËÿÖܽöÐè×¢Éä1´ÎµÄ°¬ÈûÄÇëÄ»ºÊÍ΢Çò (Bydureon)£¬²¢ÓÚ2011ÄêºÍ2012ÄêÏȺó»ñµÃÅ·Ã˺ÍÃÀ¹úFDAÅú×¼¡£×ðÁú¿Ê±¿ÉÌṩGLP-1Ò©ÎïµÄÖÊÁÏÒ©¹¤ÒÕ¿ª·¢ºÍÖÆ¼ÁÑз¢Ð§ÀÍ¡£ÔÚÈ·±£Ñз¢ÖÊÁ¿µÄ»ù´¡ÉÏ£¬×ðÁú¿Ê±ÍŶÓͨ¹ýÑϽ÷µÄÊÔÑ鼯»®Éè¼Æ£¨DOE£©¡¢×¨Òµ»¯µÄÑз¢ÊÖÒÕ¡¢±ê×¼»¯µÄÏîÄ¿ÖÎÀí¡¢¹æ·¶»¯µÄÊÔÑé²Ù×÷¡¢¸ßЧµÄ¶à·½Ïàͬ£¬Ò»Á¬ÖúÁ¦¿Í»§µÄGLP-1Ò©ÎïÑз¢¡£GLP-1 ҩЧѧÆÀ¼Û
×ðÁú¿Ê±¶àÄêÀ´Éî¸û¶¯ÎïÁìÓò£¬ÎªÒ©ÎïÑз¢ÌṩºÏÊʵ͝ÎïÄ£×Ó£¬ ¿ÉÌṩ¶àÖÖÓÃÓÚÆÀ¹ÀGLP-1Ò©ÎïµÄÌÇÄò²¡Ä£×Ó¼°·ÊÅÖÄ£×Ó£¬ÔÚAAALACÈÏÖ¤µÄÇéÐÎÏÂÍê³ÉÄ£×Ó¶¯ÎïµÄ½¨Ä£ºÍËÇÑø£¬²¢ÒÔGLP-likeµÄ¸ß±ê×¼Íê³ÉÏà¹ØÒ©Ð§Ñ§ÆÀ¼ÛÊÔÑé¡£¶àÖÖʵÑ鶯ÎïÄö³ÝÀࣺСÊó/´óÊó¡¢ÍÃ×Ó·ÇÄö³ÝÀࣺ±È¸ñÈ®¡¢Ð¡ÐÍÖí¡¢·ÇÈËÁ鳤ÀදÎï×ðÁú¿Ê±°¸Àý:»îÐÔGLP-1¼ì²â
ÕâÏîÑо¿ÊÇÔÚһС²¿·ÖÑ¡¶¨µÄѪÌÇÕý³£¿µ½¡ÊÜÊÔÕßÖоÙÐеġ£±¾´ÎÑо¿ÓÉÖÐÄÏ´óÑ§ÏæÑÅҩѧԺ¡¢ÄϾ©Ò½¿Æ´óѧµÚÒ»Á¥ÊôÒ½Ôº¡¢Ê¢ÊÀÌ©¿ÆÉúÎïÒ½Ò©ÊÖÒÕ£¨ËÕÖÝ£©ÓÐÏÞ¹«Ë¾¡¢±±¾©ÅµºÍµÂÃÀÒ½Ò©ÊÖÒÕÓÐÏÞ¹«Ë¾ÁªºÏ¾ÙÐУ¬ÆäÖлîÐÔGLP-1¼ì²âͨ¹ý×ðÁú¿Ê±¾ÙÐС£
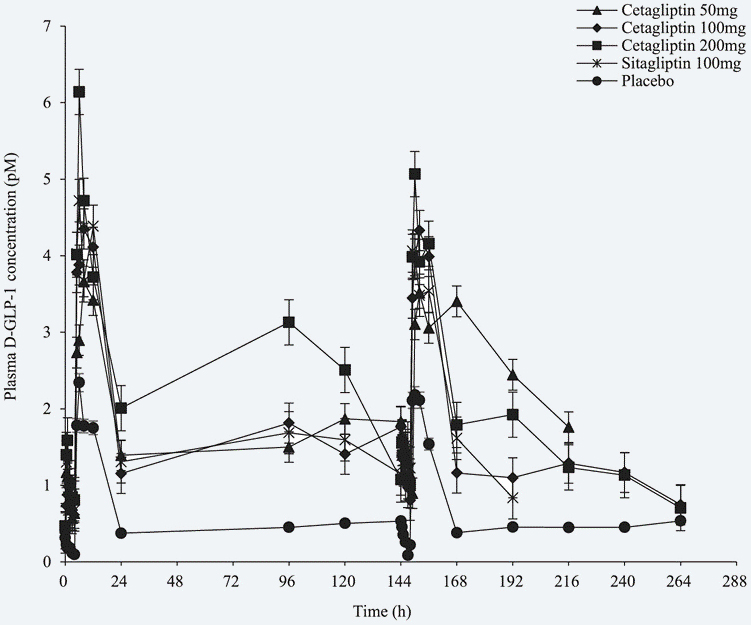
ʵÑéЧ¹ûÅú×¢£¬Ê¢¸ñÁÐÍ¡£¨Cetagliptin£©ÔÚ¼ÁÁ¿¡Ý50mgʱÌìÌì¸øÒ©Ò»´ÎÌåÏÖ³ö×îСµÄ»ýÀÛ£¬ÔÚ24Сʱ¸øÒ©¾àÀëÄÚÒÖÖÆÑª½¬DPP-4»îÐÔµÖ´ï80%ÒÔÉÏ£¬ÇÒÔöÌí»îÐÔGLP-1ˮƽ¶ø²»±¬·¢µÍѪÌÇ¡£ÇÒÊ¢¸ñÁÐÍ¡£¨Cetagliptin£©¾ßÓÐÓÅÒìµÄÁÙ´²ÄÍÊÜÐÔºÍÇå¾²ÐÔ¡£
»îÐÔD-GLP-1¼ì²âGLP-1 Ò©´ú¶¯Á¦Ñ§ÆÀ¼Û
×ðÁú¿Ê±ÔÚGLP-1Ïà¹ØÒ©ÎïµÄÌåÄÚÆÊÎöÖÐÌṩÁ˶àÖÖ¸ßÖÊÁ¿µÄ²âÊÔÒªÁ죬̫ͨ¹ýÎö¶¯ÎïÌåÄÚÊÕÂÞµÄѪ½¬/ѪÇåÑù±¾£¬Îª¿Í»§Ìṩ¿É¿¿ÓÅÖʵÄPKÊý¾Ý¡£×ðÁú¿Ê±°¸Àý£ºPKÑо¿
Cpd. Does (mg/kg) t1/2 (h) Cmax (ng/mL) AUC(0-t) (h*¦Ìg/mL) Reference Compound 0.04 55.13 503.97 39.68 Compound A 0.04 53.15 376.79 33.28 Compound A 0.1 48.79 1045.08 91.38 Compound A 0.2 58.34 2426.39 186.78 Compound A µÄÒ©´ú¶¯Á¦Ñ§²ÎÊýʵÑéЧ¹ûÏÔʾ£¬Ñª½¬Ò©Îï̻¶Á¿£¨Cmax ºÍAUC(0-t)£©µÄÔöÌíÓë¸øÒ©¼ÁÁ¿µÄÔöÌí±ÈÀý»ù±¾Ò»Ö¡£µ¥´ÎƤϸøÓè0.04mg/kg µÄ±ÈÕÕÆ·×¢ÉäÒººÍ0.04 mg/kg µÄCompound A×¢ÉäÒººó£¬Ïà¶ÔÉúÎïʹÓöÈΪ83.17%¡£
×ðÁú¿Ê±²¿·ÖÖúÁ¦GLP-1ÏîÄ¿°¸Àý
ÃÀ¸ñ³ëÄ×¢ÉäÒº£¨ÉúÎïÀàËÆÒ©£©
2022Äê9ÔÂ30ÈÕ£¬ÖÊëÄÉúÎïÑз¢µÄ˾ÃÀ¸ñ³ëÄ×¢ÉäÒº»ñµÃCDEÕýʽÊÜÀí¡£ÖÊëÄÉúÎï˾ÃÀ¸ñ³ëÄ×¢ÉäÒº£¬ÊÇÒ»¿îÍêÈ«¶Ô±êOzempicµÄÐÂÐͳ¤Ð§ÒȸßÌÇËØÑùëÄ-1£¨GLP-1£©ÉúÎïÀàËÆÎÓÃÓÚÔÚÒûʳ¿ØÖƺÍÔ˶¯»ù´¡ÉÏ£¬½ÓÊܶþ¼×Ë«ëÒºÍ/»ò»ÇëåÀàÒ©ÎïѪÌDz»´ï±êµÄ³ÉÈË2ÐÍÌÇÄò²¡»¼ÕßµÄѪÌÇ¿ØÖÆ£¬¼°½µµÍ°éÓÐÐÄѪ¹Ü¼²²¡µÄ2ÐÍÌÇÄò²¡³ÉÈË»¼ÕßµÄÖ÷ÒªÐÄѪ¹Ü²»Á¼ÊÂÎñ£¨ÐÄѪ¹ÜéæÃü¡¢·ÇÖÂËÀÐÔÐ£ËÀ»ò·ÇÖÂËÀÐÔ×äÖУ©Î£º¦¡£Ã¿ÖÜ×¢Éä1´Î£¬ËüÄܸßЧ½µÌÇ¡¢¼õÖØ£¬²¢½µµÍÐÄÄÔѪ¹Ü·¢²¡ÂÊ£¬ÊÇÐÐÒµÄÚ¹«ÈϵÄ×îÓÅGLP-1Æ·ÖÖ¡£×÷ΪÖÊëÄÉúÎïµÄÏàÖúͬ°é£¬×ðÁú¿Ê±ÎªÖÊëÄÉúÎï˾ÃÀ¸ñ³ëÄ×¢ÉäÒºÌṩÁË£¨°üÀ¨Ò©Ð§¡¢Ò©´ú¡¢°²ÆÀÔÚÄڵ쩵ÈÈ«Ì×ÁÙ´²Ç°Ñо¿Ð§ÀÍ¡£Æ¾Ö¤ÖÊëÄÉúÎïµÄÐèÇó£¬×ðÁú¿Ê±ÒÀ¸½ÔÚ´úлÐÔ¼²²¡ÁìÓò»ýÀ۵ĸ»ºñÂÄÀúºÍÓÐÓõ͝ÎïÄ£×Ó£¬ÎªÆäÖÆ¶©ÁËһϵÁÐÑϽ÷µÄÊÔÑ鼯»®£¬Ö¤ÊµÁËÆäҩЧǿ¶ÈºÍÒ»Á¬×÷ÓÃÓëOzempicÍêÈ«ÎǺϣ¬²¢Ðµ÷ÅÅÆÚÎÞ·ì¶Ô½ÓһվʽÑз¢Ð§ÀÍ£¬È«Á¦È·±£Á˸ÃÏîÄ¿¸ßÖʸßЧµÄÍê³É¡£GLP-1³¬³¤Ð§ÖƼÁ
2022Äê8ÔÂ29ÈÕ£¬ÖÊëÄÉúÎïµÄGLP-1³¬³¤Ð§ÖƼÁ×¢ÉäÒº»ñµÃ°ÄÖÞÈËÀàÑо¿Â×ÀíίԱ»áÇ©·¢µÄ¢ñÆÚÁÙ´²ÊÔÑéµÄÔÊÐí¡£10ÔÂ5ÈÕ£¬ÖÊëÄÉúÎïµÄ¸ÃÐÂÒ©ÔÚ°ÄÖÞÍê³É I ÆÚÁÙ´²Ê×ÀýÊÜÊÔÕ߸øÒ©£¬¸Ã²úÆ·¾ßÓÐ×ÔÖ÷֪ʶ²úȨ£¬Ö÷ÒªÖÎÁÆÌÇÄò²¡ºÍ·ÊÅÖÖ¢µÈÏà¹Ø´úлÐÔ¼²²¡¡£ÑϿᡢϵͳµÄÁÙ´²Ç°Ñо¿Ö¤ÊµÁ˴˳¬³¤Ð§ÖƼÁÓëÏÖÔÚÁÙ´²ÖÎÁÆÓ¦Óó¤Ð§GLP-1ÓÐÏàͬÁÆÐ§£¬µ«Æä¸ü³¤µÄ°ëË¥ÆÚ£¬ÓÐÏ£Íû³ÉΪȫÇòµÚÒ»¸öÿÔ½ö¸øÒ©Ò»´ÎµÄGLP-1R¼¤¶¯¼Á£¬Õâ¶ÔÌÇÄò²¡µÈÂýÐÔ²¡»¼Õß¾ßÓÐÀï³Ì±®ÒâÒ壬Ëü½«¼«´óµØ¸ÄÉÆ²¡ÈËÖÎÁƼ縺£¬ÏÔÖøÌá¸ß»¼ÕßµÄÒÀ´ÓÐÔ£¬´Ó¶øµÖ´ï¸üºÃµÄÖÎÁÆÐ§¹û¡£ÏÖÔÚ£¬´Ë³¬³¤Ð§ÖƼÁÒ²ÒÑ»ñCDEÅú×¼£¬¿ªÕ¹ÌÇÄò²¡ºÍ¼õÖØÖÎÁÆÁ½ÏîÁÙ´²£¬°¢¶û×Ⱥ£Ä¬Ö¢µÈ˳Ӧ֢ҲÔÚÉ걨ÖУ¬¡°Ô¤¼Æ»áÔÚ2023Äêµ×Íê³É¢ñÆÚÁÙ´²£¬2024Äêµ×Íê³É¢òÆÚÁÙ´²£¬ÓÐÍûÔÚδÀ´4-5ÄêÄÚ»ñÅúÉÏÊС±¡£´Ë³¬³¤Ð§ÖƼÁÊг¡Ô¶¾°¿É¹Û¡¢Ç±Á¦Öش󣬲»µ«Ö¤ÊµÁËÖÊëÄÉúÎï×÷Ϊ¡°¹ú¼Ò¸ßÐÂÊÖÒÕÆóÒµ¡±Ó²ºËµÄÁ¢ÒìÄÜÁ¦¡¢ÁìÏȵÄÑз¢Ë®Æ½£¬Ò²³ä·ÖÕÃÏÔÁËÖÊëÄÉúÎïÔÚ´úл¼²²¡ÁìÓòÂѰ×ÀàÁ¢ÒìÒ©ÎïÑз¢ÁìÓòµÄÏòµ¼Ö°Î»£¡×÷ΪÖÊëÄÉúÎïµÄÏàÖúͬ°é£¬×ðÁú¿Ê±ÒÀ¸½ÐÂÒ©ÁÙ´²Ç°Ñо¿¶àÄ긻ºñµÄÂÄÀú£¬ÓëÖÊëÄÉúÎï¼á³ÖϸÃÜÏàÖú£¬ÒÔרҵÑϽ÷µÄ¿ÆÑÐ̬¶È£¬¶Ô´Ë³¬³¤Ð§ÖƼÁÏîÄ¿¾ÙÐÐÏêϸÆÊÎö£¬ÎªÆäÖÆ¶©ÁË¿ÆÑ§ºÏÀíµÄҩЧʵÑ鼯»®£¬´Ó¶ø»ñµÃÁ˸òúÆ·Ó¦Óе͝ÎïʵÑéÊý¾Ý£¬Îª¸Ã²úÆ·ÌṩÁËÇкÏÖС¢ÃÀ¡¢°ÄÈý¹úÉ걨µÄҩЧЧÀÍ£¬¼ÓËÙÁËÍâÑóÁÙ´²É걨Àú³Ì¡£MDR-001
2023Äê4ÔÂ20ÈÕ£¬¾ÝCDE¹ÙÍø£¬µÂî£ÖÇÒ©¿Æ¼¼MDR-001Ƭ»ñÅúÁÙ´²£¬Ä⿪չÖÎÁÆ2ÐÍÌÇÄò²¡ºÍ·ÊÅÖ»ò³¬ÖØ»¼ÕßµÄÌåÖØÖÎÀíµÄÑо¿¡£MDR-001ÊǵÂî£ÖÇҩͨ¹ýÆäAIÇý¶¯Ò©Îï·¢Ã÷ƽ̨Molecule Pro¿ª·¢µÄÒ»¿î·Ç¾ºÕùÐÔ¿Ú·þGLP-1RС·Ö×Ó¼¤¶¯¼Á£¬ÒÑÓÚ2022Äê12Ô»ñFDAÅú×¼¿ªÕ¹ÁÙ´²¡£ÁÙ´²Ç°Ñо¿ÏÔʾ£¬MDR-001¾ßÓÐÓÅÒìµÄҩЧºÍÑ¡ÔñÐÔ£¬ÓÅÒìµÄADMEºÍ¿Ú·þÉúÎïʹÓöÈÒÔ¼°¸üÓŵÄÒ©´ú¶¯Á¦Ñ§ÌØÕ÷£¬¾ß±¸best-in-classDZÁ¦¡£MDR-001ÔÚÁÙ´²Ç°Ñо¿ÖÐÌåÏÖ³ö½ÏΪ½ÏºÃµÄҩЧºÍÑ¡ÔñÐÔ£¬Í¬Ê±ÌåÏÖ³öÓÅÒìµÄADME£¨ÎüÊÕ¡¢ÂþÑÜ¡¢´úлºÍÉøÍ¸£©¡¢¿Ú·þÉúÎïʹÓöȼ°Ò©´ú¶¯Á¦Ñ§ÌØÕ÷¡£±ðµÄ£¬ÁÙ´²Ç°Ñо¿ÏÔʾ¸ÃÒ©Óë¶àëÄÓнüËÆµÄҩЧ¼°¸ü¸ßµÄÇå¾²´°£¬Í¬Ê±ÎÞÃâÒßÔÐÔ¡¢¿Ú·þ±ãµ±£¬ÓÐÍû¸øÌÇÄò²¡ºÍ·ÊÅÖÖ¢»¼Õß´øÀ´¸üÓŵÄÖÎÁÆÑ¡Ôñ¡£ÔÚÔçÆÚµÄÌÇÄò²¡ºÏ²¢·ÊÅÖºïµÄҩЧģ×ÓÖУ¬ºã¾Ã¸øÒ©Ð§¹ûÏÔʾ£¬MDR-001³ýÁËÄÜÓÐÓýµÌǺͽµÌåÖØ£¬»¹ÄÜʹÌÇ»¯ÑªºìÂѰף¨HbA1C£©»Ö¸´µ½¿µ½¡ºïˮƽ£¬²¢ÇÒÍ£Ò©ºó»Ö¸´ÆÚûÓзºÆð·´µ¯£¬ÌáÐѸÃÒ©ÓÐÖúÓÚÐÞ¸´ÊÜËðÒȵºÏ¸°û¡¢»Ö¸´Òȵº¹¦Ð§£¬ÏÔʾ³ö¿ÉÒÔÖÎÓúÔçÆÚÌÇÄò²¡µÄDZÁ¦¡£×÷ΪµÂî£ÖÇÒ©µÄÏàÖúͬ°é£¬×ðÁú¿Ê±ÎªMDR-001ÌṩÁËÖÊÁÏÒ©¹¤ÒÕ¿ª·¢ºÍÖÆ¼ÁÑз¢Ð§ÀÍ¡£ÔÚÈ·±£Ñз¢ÖÊÁ¿µÄ»ù´¡ÉÏ£¬×ðÁú¿Ê±Í¨¹ýÑϽ÷µÄÊÔÑ鼯»®Éè¼Æ¡¢×¨Òµ»¯µÄÑз¢ÊÖÒÕ¡¢±ê×¼»¯µÄÏîÄ¿ÖÎÀí¡¢¹æ·¶»¯µÄÊÔÑé²Ù×÷¡¢¸ßЧµÄ¶à·½Ïàͬ£¬¼ÓËÙÁËÑз¢Àú³Ì£¬¶ÔÕâÒ»ÖØÁ¿¼¶GLP-1R¼¤¶¯¼Á»ñÅúÁÙ´²×ö³öÁË×Ô¼ºµÄТ˳¡£
- GLP-1R¼¤¶¯¼Á×÷ΪÐÂÐͽµÌÇÒ©Î²»µ«ÔÚ½µÌÇ·½ÃæÐ§¹û½ÏºÃ£¬Í¬Ê±»¹¾ßÓмõÇáÌåÖØ¡¢½µÑ¹¡¢½µÖ¬¡¢ÐÄѪ¹Ü±£»¤¡¢ÉöÔà±£»¤¡¢¸ÄÉÆÌÇÄò²¡ÊÓÍøÄ¤²¡±äÔ¤ºóµÈÁÙ´²×÷Óá£ÆÚ´ýδÀ´Óиü¶àµÄ»ù´¡Ñо¿ºÍÁÙ´²ÊÔÑéÈ¥·¢Ã÷GLP-1R¼¤¶¯¼Á¸ü¶àµÄ×÷ Óã¬ÎªÁÙ´²Ó¦ÓÃÌṩ¸üΪÓÐÓõÄÖ¤¾Ý¡£×÷Ϊº£ÄÚCROÐÐÒµÖÐÉÙÊý¾ßÓÐ×ÛºÏЧÀÍÄÜÁ¦µÄÉúÎïÒ½Ò©ÁÙ´²Ç°Ñо¿ÆóÒµ£¬×ðÁú¿Ê±½ü20ÄêÀ´Ò»Ö±ÔÚ×·¸ÏÁ¢Ò죬¶´²ìºÍ×îÐÂÊÖÒÕÉú³¤£¬´î½¨È«ÇòÁ¢ÒìÒ©Éú³¤Æ«ÏòµÄÊÖÒÕЧÀÍÆ½Ì¨£¬Ò²ÖúÁ¦ÐÂÒ©¼ÓËÙ×¢²áÉ걨¡£×ðÁú¿Ê±ÁÙ´²×¢²áÊÂÎñЧÀÍÆ½Ì¨ÓµÓРרҵµÄIND¡¢ANDAÑо¿ÍŶӣ¬ÉîÈëÏàʶÖйú¡¢ÃÀ¹ú¡¢°ÄÖÞºÍÅ·Ã˵ȹú¼ÒºÍµØÇøµÄ×¢²á¹æÔòÕþ²ßÒÔ¼°Æä¶Ô »¯Ñ§Ò©ÎïµÄÊÖÒÕÒªÇó£¬ ÄÜΪº£ÄÚ¿Í»§ÌṩNMPAµÄINDÉ걨¡¢ US FDAµÄIND/ANDAÉ걨ЧÀÍ£¬ ÄÜΪÍâÑó¿Í»§ÌṩNMPAµÄIND/ANDAÉ걨ЧÀÍ£¬¶¨ÖÆÇÐʵ¿ÉÐеÄ×¢²áÕ½ÂÔ£¬¹æ±ÜDZÔÚµÄ×¢²áΣº¦£¬È·±£ÊµÊ±×¼È·µÄµÝ½»É걨×ÊÁÏ£¬»¹»á¸ú×ÙÉóÆÀ½ø¶È£¬ÒÔ±ãÖúÁ¦¿Í»§¿ìËÙµØÍê³É×¢²áÉóÆÀÁ÷³Ì¡£
²Î¿¼ÎÄÏ×
[1] Baptist Gallwitz. The evolving place of incretin-based therapies in type 2 diabetes. Pediatr Nephrol. 2010 Jul;25(7):1207-17. doi: 10.1007/s00467-009-1435-z.
[2] Wenwei Wan, et al. GLP-1R Signaling and Functional Molecules in Incretin Therapy. Molecules. 2023 Jan 11;28(2):751. doi: 10.3390/molecules28020751
[3] Jinmiao Lu, et al. A double-blind, randomized, placebo and positive-controlled study in healthy volunteers to evaluate pharmacokinetic and pharmacodynamic properties of multiple oral doses of Cetagliptin. Br J Clin Pharmacol. 2022 Jun;88(6):2946-2958. doi: 10.1111/bcp.15209
[4] Andr¨¦ J Scheen. GLP-1 receptor agonists or DPP-4 inhibitors: how to guide the clinician? Ann Endocrinol (Paris).2013 Dec;74(5-6):515-22. doi: 10.1016/j.ando.2012.06.002.
[5] Xin Zhao, et al. GLP-1 Receptor Agonists: Beyond Their Pancreatic Effects. Front Endocrinol (Lausanne). 2021 Aug 23;12:721135. doi: 10.3389/fendo.2021.721135.
[6] Serap Koral Ta???, et al. GLP-1 Localisation and Proglucagon Gene Expression in Healthy and Diabetic Mouse Ileum.J Vet Res. 2018 Oct 24;62(2):237-242. doi: 10.2478/jvetres-2018-0033.

























