×ðÁú¿­Ê±

EN
EN
  • ÓªÒµ×Éѯ

    Öйú£º

    Email: marketing@medicilon.com.cn

    ÓªÒµ×ÉѯרÏߣº400-780-8018

    £¨½öÏÞЧÀÍ×Éѯ £¬ÆäËûÊÂÒËÇ벦´ò´¨É³×ܲ¿µç»°£©

    ´¨É³×ܲ¿µç»°: +86 (21) 5859-1500

    ÍâÑó£º

    +1(781)535-1428(U.S.)

    0044 7790 816 954 (Europe)

    Email:marketing@medicilon.com

ÔÚÏßÁôÑÔ¡Á
µã»÷Çл»
News information
ÐÂÎÅ×ÊѶ

¡°ÉñÒ©¡±¶þ¼×Ë«ëÒÔٴγöÂí £¬Õâ´ÎËüµÄÄ¿µÄ¾¹ÊÇйڣ¡

2020-12-10
|
»á¼ûÁ¿£º
Ã÷ÄáËÕ´ï´óѧҽѧԺºÍUnited Health GroupµÄÑо¿Ö°Ô±·¢Ã÷ £¬ÔÚÌìÏÂÉÏ×î´óµÄÒ»ÏîÕë¶ÔCOVID-19»¼ÕßµÄÊÓ²ìÐÔÑо¿ÖÐ £¬¶þ¼×Ë«ëÒÓëÏÔÖø½µµÍÅ®ÐÔCOVID-19éæÃüΣº¦Ïà¹Ø¡£
¶þ¼×Ë«ëÒÊÇÓÃÓÚ¿ØÖÆ2ÐÍÌÇÄò²¡»¼ÕßѪÌÇˮƽµÄͨÓÃÒ©Îï¡£Ëü»¹¿ÉÒÔïÔÌ­Ñ×Ö¢ÂÑ°× £¬ÈçËÆºõ¿ÉʹCOVID-19ÇéÐζñ»¯µÄÖ×Áö»µËÀÒò×Ó-¦Á¡£¸ÃÑо¿¿ËÈÕÒѽÒÏþÔÚ¡¶The Lancet¡·ÔÓÖ¾ÉÏ £¬ÕâÊÇÒ»Ïî»ùÓÚUnited Health Group»¼ÕßµÄÊý¾ÝµÄÅÅÁÐÆÊÎö¡£

¡°ÉñÒ©¡±¶þ¼×Ë«ëÒÔٴγöÂí£¬Õâ´ÎËüµÄÄ¿µÄ¾¹ÊÇйڣ¡

Ñо¿Ð¡×éÆÊÎöÁËÔ¼6000ÃûÒòCOVID-19¶ø×¡ÔºÖÎÁƵÄ2ÐÍÌÇÄò²¡»ò·ÊÅÖ»¼Õß £¬²¢ÆÀ¹ÀÁËʹÓöþ¼×Ë«ëÒÊÇ·ñÓë½µµÍéæÃüÂÊÏà¹Ø¡£ËûÃÇ·¢Ã÷ÁËÒ»¸ö¹ØÁª £¬ÌÇÄò²¡»ò·ÊÅÖµÄÅ®ÐÔ £¬ÒòCOVID-19¼²²¡×¡Ôº £¬²¢ÇÒÔÚסԺǰ·þÓÃÁË90ÌìµÄ¶þ¼×Ë«ëÒ´¦·½ £¬Ó벻ƽÓøÃÒ©µÄÀàËÆ¸¾Å®Ïà±È £¬éæÃüÂʽµµÍÁË21%µ½24%¡£ÄÐÐÔéæÃüÂÊûÓÐÏÔÖø½µµÍ¡£

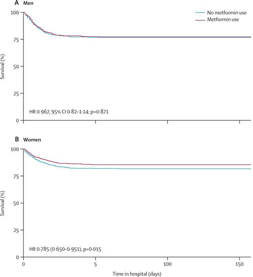
ÄÐÐÔ£¨A£©ºÍÅ®ÐÔ£¨B£©µÄKaplan-MeierÉúÑÄÇúÏß

ÄÐÐÔ£¨A£©ºÍÅ®ÐÔ£¨B£©µÄKaplan-MeierÉúÑÄÇúÏߣ¨ÈªÔ´:The Lancet£©

ûʹÓöþ¼×Ë«ëÒµÄÈËÓëʹÓöþ¼×Ë«ëÒµÄÈ˵ÄÉúÑÄÂʾÙÐнÏÁ¿

ûʹÓöþ¼×Ë«ëÒµÄÈËÓëʹÓöþ¼×Ë«ëÒµÄÈ˵ÄÉúÑÄÂʾÙÐнÏÁ¿£¨ÈªÔ´:The Lancet£©

ÔÚCox±ÈÀýΣº¦Ä£×ÓÖÐ £¬TNF¦ÁÒÖÖÆ¼ÁÓëéæÃüÂʽµµÍÎÞÏÔ×ÅÏà¹ØÐÔ £»ÔÚÇãÏòÆ¥ÅäÄ£×ÓÖÐ £¬Óë¶þ¼×Ë«ëÒÆÊÎöÏàͬµÄ±äÁ¿ÏàÆ¥Åä £¬TNF¦ÁÒÖÖÆ¼ÁÓëéæÃüÂʽµµÍÎ޹ء£ÔÚ½öÓëÄêËê¡¢ÐԱ𡢲é¶ûÉ­ºÏ²¢Ö¢Ö¸Êý¡¢Ñ×ÐÔ³¦²¡¡¢Àà·çʪÐÔÊàŦÑ׺ÍϵͳÐÔºì°ßÀÇ´¯ÏàÆ¥ÅäµÄÇãÏòÄ£×ÓÖÐ £¬TNF¦ÁÒÖÖÆ¼ÁÓëéæÃüÂʽµµÍÏÔÖøÏà¹Ø¡£Ðí¶àÆäËû±äÁ¿ÓëËÀÓÚCOVID-19µÄΣº¦ÔöÌí»ò½µµÍÓÐ¹Ø £¬ÓÈÆäÊÇÑ×Ö¢ÐÔ³¦²¡ºÍÓæÂ2¼¤¶¯¼ÁÖÎÁƵÄÏø´­¡£
¡°ÏñÕâÑùµÄÊÓ²ìÑо¿²»¿ÉµÃ³ö½áÂÛ £¬µ«ÓÐÖúÓÚÒ»Ö±ÔöÌíµÄÖ¤¾Ý¡£ÓëÄÐÐÔÏà±È £¬Å®ÐԵı £»¤×÷Óøü´ó £¬Õâ¿ÉÄÜÒâζ×ÅÏûÑ×ÊǶþ¼×Ë«ëÒ½µµÍ¸ÐCOVID-19Σº¦µÄÒªº¦Í¾¾¶¡£²»¹ý £¬»¹ÐèÒª¸ü¶àµÄÑо¿¡£¡±Ã÷ÄáËÕ´ï´óѧҽѧԺҽѧϵÖúÀí½ÌÊÚ¡¢Ò½Ñ§²©Ê¿¿¨ÂÞÁÕ¡¤²¼À­ÂüÌØ£¨Carolyn Bramante£©ËµÁýÕÖ²î±ðµØÀíÇøÓòµÄ´óÐÍÊý¾Ý¿âºÜÉÙ¿ÉÓá£
United Health GroupÆóÒµÑз¢²¿Ö´Ðи±×ܲÃDeneen Vojtaҽѧ²©Ê¿ÌåÏÖ £¬ËäÈ»ÏÖÔÚÕýÔÚ¿ª·¢ÓÐÓõÄÖÎÁÆÒªÁìÀ´¼õÇáSARS-CoV-2²¡¶¾µÄΣº¦ £¬µ«Ò²±ØÐèѰÕÒ²¢ÆÀ¹À¾ßÓÐÓÅÒìÇå¾²ÐԵij£ÓÃÒ©Îï £¬ÒÔÆÀ¹ÀÆä¿¹²¡¶¾µÄDZÁ¦¡£
×ÜÖ®ÓëÄÐÐÔÏà±È £¬¶þ¼×Ë«ëÒ¹ØÓÚCOVID-19סԺµÄÅ®ÐÔ¾ßÓиüÏÔÖøµÄ± £»¤×÷Ó᣶þ¼×Ë«ëÒ¾ßÓÐÓÅÒìµÄÇå¾²ÐÔ¼°¿ÉÓÃÐÔ £¬½ÓÏÂÀ´ÐèÒª¶ÔCOVID-19µÄ»¼Õß¾ÙÐÐǰհÐÔÆÀ¹À £¬ÒÔÏàʶ¸üÓÐÀûµÄ»úÖÆ¡¢Ò©ÎïÒ»Á¬Ê±¼äºÍ×î¼ÑµÄÖÎÁÆÊ±»ú¡£¡°ÉñÒ©¡±»á³Ùµ½µ«ÓÀÔ¶²»»áȱϯ £¬ÆÚ´ý¶þ¼×Ë«ëÒÔÙÒ»´ÎΪÎÒÃÇ´øÀ´ÐµÄÏ£Íû°É£¡

ÁªÏµ×ðÁú¿­Ê±
Email: marketing@medicilon.com.cn
µç»°: +86 (21) 5859-1500£¨×Ü»ú£©
Ïà¹ØÐÂÎÅ
¡Á
ËÑË÷ÑéÖ¤
µã»÷Çл»
¡¾ÍøÕ¾µØÍ¼¡¿¡¾sitemap¡¿